:::

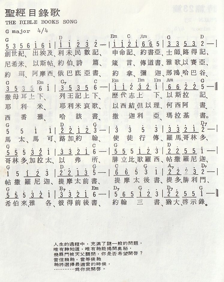
1-22 0123聖經目錄歌:基督是主第一集

0123聖經目錄歌:基督是主第一集


荒漠甘泉五合一

你進站:2026年05月27日
時間是:22時16分54秒
■ 中文荒漠甘泉(05月27日)
五月廿七日 「拿過來給我。」馬太福音十四章18節 你現在是不是正被患難、試煉、危險、缺乏所包圍呢?這些都是神為你安排的器皿,為著盛滿聖靈用的;如果你能懂得神的用意,它們就會作你得新祝福和新拯救的機會;這種祝福和拯救,除此以外,別無他法可得。 把這些器皿拿過來給神,用信心和禱告帶到祂面前來。安靜罷!停止你自己的活動,除非祂有所吩咐。不要作祂所沒有吩咐你作的事情。給祂一個機會去作罷;這樣,使你害怕的患難、試煉、危險、缺乏,都要變作神彰顯祂恩典和榮耀的機會了。           ─宣信 「我的神必照祂榮耀的豐富,在基督耶穌裡,使你們一切所需用的都充足。」腓立比書四章19節 何等的來源——「神!」何等的資本——「祂榮耀的豐富!」何等的導管——「基督耶穌!」何等的供給——「一切所需用的!」這是你無上的權利——把你一切所需用的去換祂榮耀的豐富!祂無盡的寶庫,已因祂不竭之愛,為你開著了;用無偽的、簡單的信心去支取你的需用罷!祂決不會怕你支取過多的,因為祂的寶庫從無缺貨之虞。           ─馬金都 「使我的福杯滿溢。」(詩廿三5) 信靠了慈愛的主, 祂會把祝福注入杯中, 多得滿溢, 豈但充滿! 且波浪滾滾之大江, 永不枯竭, 絕不缺短, 祂的賜予從無限止, 祂給子民豐滿的供應, 如滔滔的激湍流長源遠。 我們的杯, 將永遠充溢不竭, 只要我們從天父手邊, 接受給我們杯中的分, 以感激之心讚美祂的成全。 我衷心信賴了耶穌, 靈中注滿了完實的歡欣, 祗有耶穌使我心足意滿, 一片光明, 充沛眼前。 只要我們稱頌祂的愛, 我們的杯將永遠不竭; 祂的愛高得無法言喻, 那樣奇妙的愛, 那樣溫柔的愛, 永遠稱頌祂的名, 永遠稱頌祂的名, 我們讚美, 我們歡欣。           ─巴伯 「神既不愛惜自己的兒子為我們眾人捨了,豈不也把萬物和祂一同白白的賜給我們麼?」(羅八32)
■ 英文荒漠甘泉(05月27日)
May 27 "Bring them hither to me." (Matt. 14:18.)  ARE you encompassed with needs at this very moment, and almost overwhelmed with difficulties, trials, and emergencies? These are all divinely provided vessels for the Holy Spirit to fill, and if you but rightly understood their meaning, they would become opportunities for receiving new blessings and deliverances which you can get in no other way.  Bring these vessels to God. Hold them steadily before Him in faith and prayer. Keep still, and stop your own restless working until He begins to work. Do nothing that He does not Himself command you to do. Give Him a chance to work, and He will surely do so; and the very trials that threatened to overcome you with discouragement and disaster, will become God's opportunity for the revelation of His grace and glory in your life, as you have never known Him before."Bring them (all needs) to me."           ─A. B. Simpson.  "My God shall supply all your need according to his riches in glory by Christ Jesus." (Phil. 4:19.)  What a source "God!" What a supply─"His riches in glory!" What a channel"Christ Jesus!" It is your sweet privilege to place all your need over against His riches, and lose sight of the former in the presence of the latter. His exhaustless treasury is thrown open to you, in all the love of His heart; go and draw upon it, in the artless simplicity of faith, and you will never have occasion to look to a creature-stream, or lean on a creature-prop.            ─C. H. M.   "MY CUP RUNNETH OVER" There is always something over, When we trust our gracious Lord; Every cup He fills o'erfloweth,  His great rivers all are broad. Nothing narrow, nothing stinted,  Ever issues from His store; To His own He gives full measure,  Running over, evermore. There is always something over,  When we, from the Father's hand, Take our portion with thanksgiving,  Praising for the path He planned. Satisfaction, full and deepening,  Fills the soul, and lights the eye, When the heart has trusted Jesus,  All its need to satisfy. There is always something over,  When we tell of all His love; Unplumbed depths still lie beneath us,  Unscaled heights rise far above: Human lips can never utter,  All His wondrous tenderness, We can only praise and wonder,  And His name forever bless.           ─Margaret E. Barber.  "How can he but, in giving Him, lavish on us all things." (Rom. 8:32.)
■ 永活之泉(05月27日)
五月廿七日 全備的福音 「彼得說:『悔改……叫你們罪得赦,就必領受所賜的聖靈。』」使徒行傳二章38節 當施洗約翰出來傳道時說:「天國近了,你們當悔改!」他又說:「那在我以後來的,要用聖靈和火給你們施洗。」當耶穌傳道時說:「在你們當中有人在未死以前,要看到神的國降臨。」這是指聖靈降下的光景,就是彼得在五旬節所傳講的「悔放、罪得赦免、領受聖靈全備的福音」;這是絕對必要傳講的信息,因為唯有這樣,基督徒才能活在神的旨意裏,凡事討祂喜悅。神的國是指藉著聖靈有(在基督裏)的義,和(在神裏)的喜樂,也就是基督所指「我的喜樂」,要在聖靈中才能得到。 多少次我們只傳講福音的一半——悔改和赦罪,就被引入初步的真理——但聖靈生命的知識和經驗卻隻字不提,無怪乎許多基督徒不明白他們每天必須依靠聖靈喜樂,並支取能力。 親愛的基督徒!請為自己領受這個真理,就好像在那些你操作的東西中——每天必定享受聖靈的引導,使你信心的生命有喜樂;假如你感覺在屬靈生命中已有某種缺乏,你可以馬上祈求聖靈賜給你,使你有更新的一天。切記加拉太書五章22節,你就有勇氣求聖靈為你做任何一件事,把你的心當作主的花園,藉著聖靈不斷長出聖靈的果子,去榮耀神。
■ 中文屬天日子(05月27日)
五月廿七日 現在活著的生命 「你們要在城裡等候,直到你們領受從上頭來的能力。」路加福音廿四章49節 門徒等候五旬節來到,不僅是為他們自己的緣故;乃是等候主獲到從來未有的光榮。祂得到了光榮,有甚麼事發生呢?「祂既被神的右手高舉,又從父受了所應許的聖靈,就把你們所看見所聽見的,澆灌下來。」(使二33)約翰福音七章39節括弧裡的句子:(那時還沒有賜下聖靈來,因為耶穌尚未得著榮耀),並不適用於我們;聖靈已經賜下來,主已得著榮耀;「等候」不是以神預定的旨意為轉移,卻要看我們適合不適合。 聖靈的感應和能力,在五旬節以前業已工作,但是祂不在他們那裡。我們的主升上去得著了榮耀,聖靈就馬上來到人間,常住人間。我們必要從啟示得知祂在我們這裡。接受聖靈,是信徒應保持的態度。當我們領受聖靈的時候,我們就從升天的主那裡領受了活潑的生命。 改變人的,不是聖靈的洗禮,乃是升天的基督的能力,藉著聖靈投進人的生命中,將人改變過來。我們常常分開聖經所從不分開的。聖靈的洗禮,不是一種脫離耶穌基督的經驗,是升天的基督的明證。 聖靈的洗禮不使你想到時間或永生,是使你想到奇妙光榮的現在。「認識您,這就是永生」。現在開始認識祂,永不止息的認識祂。
■ 中文上海嗎哪(05月27日)
五月廿七日 「……政權必擔在祂的肩頭上……」以賽亞書九章6節 當我們的心跳急速不安時,我們無法使之安靜下來。有些藥能控制心跳,但不能給我們真正的安歇。然而神的生命和力量成為我們的氣息時,我們就會有甜美的平安。就算我們有溫暖的家庭,親人都相愛和樂;就算我們能解決一些困難,但我們仍然得不到平安。或許有人會說:「只要這個大問題解決後,我就會有平安。」但是危機常常是接二連三,繼續不斷的。 一頭受傷的鹿站在山上,牠或許會說:「如果我能在清涼的溪裡洗個澡,一定能享受片刻的寧靜。」然而箭仍在牠的身上,這時除非牠的傷能夠痊癒,否則牠不會有任何平安的。那種痛苦無論是在山上的湖邊,或是在平原上,都會存在。 同樣道理,直到我們完全地順服基督,甚至把工作都交給祂,相信祂會看顧到底,否則我們也無法得到神的安息和平安。因此,讓我們在主裡休息,完全倚靠祂。 全然地順服神,讓神把政權擔在祂肩頭上是必須的。保羅曾視萬物為糞土,為要得著基督。的確,我們所走的是一條窄路,我們當行基督的旨意,做祂的事工。
:::

線上使用者

30人線上 (2人在瀏覽線上書籍)

會員: 0

訪客: 30

更多…

📖 今日推薦Taiwanese Bible Reading Audio | 台語聖經朗讀和合本◎最新上傳進度◎

◎已錄音經卷進度◎

[2026-05-27] 📖 猶大書 1章 👁️1 🔥1 ▶ 播整章
[2026-05-27] 📖 腓利門書 1章 👁️0 🔥0 ▶ 播整章
[2026-05-25] 📖 雅各書 5章 👁️2 🔥0 ▶ 播整章
[2026-05-25] 📖 雅各書 4章 👁️3 🔥0 ▶ 播整章
[2026-05-24] 📖 雅各書 3章 👁️4 🔥1 ▶ 播整章

台語聖經朗讀和合本MP3錄製進度

Taiwanese Bible Reading Audio |台語聖經朗讀和合本

提供免費台語聖經朗讀,包含國語與台語對照。

◎已錄音經卷

📖 創世記 1-50 / 50
📖 詩篇 1-23 / 150
📖 馬太福音 1-28 / 28
📖 腓立比書 1-4 / 4
📖 帖撒羅尼迦前書 1-5 / 5
📖 帖撒羅尼迦後書 1-3 / 3
📖 腓利門書 1-1 / 1
📖 雅各書 1-5 / 5
📖 猶大書 1-1 / 1

📖 Taiwanese Bible Reading Audio | 台語聖經朗讀和合本 最近新增

台語羅馬字典

計數器

今天: 5241524152415241
昨天: 4370437043704370
總計: 1113698111136981111369811113698111136981111369811113698111136981

訪客分佈圖2026.03.17設

隨機小語

Your strength will equal your days.你的日子如何,你的力量也必如何。申命記33: 25

🎹教會MIDI卡拉OK新增

會員登入

雷達回波圖

衛星雲圖